SHARE THIS ARTICLE

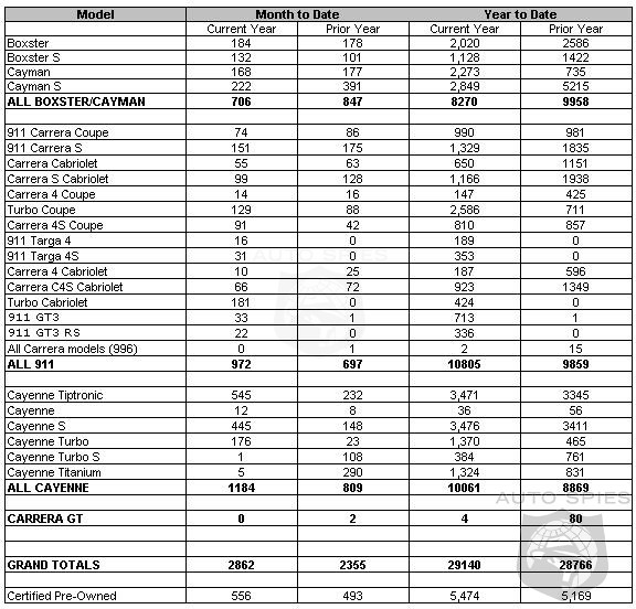
Porsche Cars North America, Inc, importer and distributor of Porsche sports cars and Cayenne SUVs in the United States and Canada, today announced second-best ever October sales of 2,862 units in the United States. In the first 10 months of this year, Porsche has sold 29,140 new cars, which is on track to repeat last year's record sales.

The 911 model also achieved record October sales with 972 units sold, up 39 percent over last October sales of 697. So far this year, 911 sales are 10,805, representing a 10 percent increase over year-to-date sales last October of 9,859.

Also impressive were Porsche's new-generation Cayenne SUV sales that saw a 46 percent rise, with sales of 1,184 versus 809 Cayennes sold last October. Year-to-date, there were 10,061 Cayennes sold, up 13 percent over October 2006 sales of 8,869.

Boxster sales of 316 also realized an increase of 13.3 percent over last October sales of 279.

In addition, dealers sold 556 Porsche Approved Certified Pre-Owned cars in October vs. 493 for the same period last year.

On a side note, if you haven't reviewed your car yet or seen what others reviewers are saying, you need to see the brand new AutoSpies.com reader reviews!

Now anyone in the world can review a car like the pro's!

And as an added incentive, the best user review posted over the next 30 days will win a brand new Passport 8500 X50 Radar Detector - Blue (Retail value: $339.00)!

Do yours now!

AutoSpies.com User Car Reviews

Don't forget, the SEMA auto show is right around the corner!

2007 SEMA Auto Show, SEMA Girls and Models Photo Gallery




Porsche Sales Skyrocket 22% for October

About the Author

Agent009