SHARE THIS ARTICLE

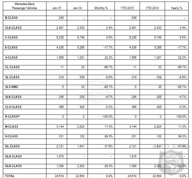
Mercedes-Benz today reported a record January sales volume of 24,619, increasing 8.9% from the 22,604 units sold in January 2014. Adding 1,505 units for Sprinter Vans and 492 units at smart, MBUSA achieved its highest January to date with a grand total of 26,616 vehicles, up 9% from a year ago.

"On the heels of record sales in 2014, a best-ever January is the perfect way to kick off the New Year," said Stephen Cannon, president and CEO of MBUSA. "Our product offensive continues in 2015 with the launch of the Mercedes-Maybach S600, a fully redesigned light truck lineup and the hero of our Super Bowl spot this year, the Mercedes-AMG GT S. Stay tuned."

Mercedes-Benz volume leaders in January included the C-, E- and M-Class model lines. The new C-Class took the lead at 6,236, up 8.5% from the 5,748 units sold the same month last year. The E-Class followed with sales of 4,336, while the brand's best-selling sport utility, the M-Class, rounded out the top three with an increase of 11.3% to 3,144. At the high end, sales of the flagship S-Class increased 22.2% from January 2014 to 1,566.

Mercedes-Benz AMG high-performance models sold 790 units in January, while the brand's BlueTEC diesel lineup finished the month at 942.

Separately, Mercedes-Benz Certified Pre-Owned (MBCPO) models recorded their best January ever with sales of 9,456, up 13.9% from the 8,305 units sold the same month last year.




Mercedes Maintains Lead Over Lexus With A 8.9% Increase In January

About the Author

Agent009