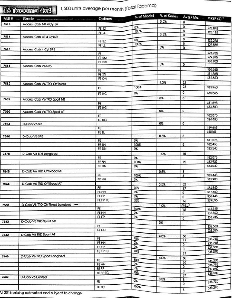
After it outsold the Chevrolet Colorado by a ratio of 2.5 to 1 in the month of June, the Taco prepares to roll out the 2016 MY. For the 2016 Toyota Tacoma, pricing hasn’t been announced yet, but a leaked document from a dealer’s meeting tells that $22,200 is the starting point, and $39,375 is as high as it goes.
Courtesy of “an observant reader” of the Tacoma World forum, the first three pics in the adjacent gallery lay out all there is to the pricing of the 2016 Toyota Tacoma. But first, a comparo with the Taco’s arch nemesis from General Motors. With an MSRP of $20,120 (excludes destination freight charge, tax, title, license, dealer fees and optional equipment), the Chevrolet Colorado is a couple of grand less expensive than the cheapest 2016 model year Tacoma grade.



Read Article